IBF лишила Жанибека Алимханулы титула чемпиона мира

749

Также IBF отстранила его до декабря 2026 года

Фото: sports.kz

Международная боксёрская федерация (IBF) опубликовала официальное заявление, в котором объяснила своё решение лишить казахстанца Жанибека Алимханулы (17-0, 12 КО) титула чемпиона мира в среднем весе, сообщает Kazpravda.kz со ссылкой на Vesti.kz

Напомним, казахстанец завоевал титул IBF в октябре 2023 года, нокаутировав непобежденного немца Винченцо Гуальтьери.

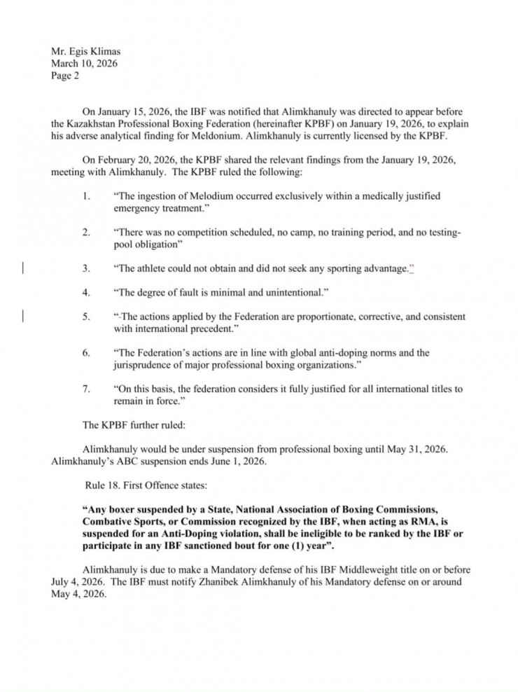
"Правило 18. Первое нарушение гласит: "Любой боксёр, отстранённый штатом, национальной ассоциацией боксёрских комиссий, органом по боевым видам спорта или комиссией, признанной IBF, действующей в качестве RMA, за нарушение антидопинговых правил, не имеет права быть включённым в рейтинг IBF или участвовать в любом бою, санкционированном IBF, в течение одного года". Алимханулы должен провести обязательную защиту своего титула чемпиона мира IBF в среднем весе не позднее 4 июля 2026 года. IBF обязана уведомить Алимханулы о его обязательной защите не позднее примерно 4 мая 2026 года.

Правило 5.B.1 гласит, в частности: "Каждый чемпион, признанный IBF в своей весовой категории от минимального до супертяжелого веса, обязан провести обязательную защиту своего чемпионского титула в течение девяти месяцев после его завоевания в поединке, запланированном на двенадцать раундов, против ведущего доступного претендента, назначенного председателем чемпионского комитета".

Санкции, предусмотренные Правилом 18, запрещают Жанибеку Алимханулы быть включённым в рейтинг IBF или "участвовать в любом бою, санкционированном IBF" в течение одного года после его отстранения за антидопинговое нарушение. Дисквалификация Алимханулы вступает в силу со 2 декабря 2025 года, и, следовательно, годичный период недопуска истекает 2 декабря 2026 года. Соответственно, Алимханулы не может выполнить обязательство по обязательной защите титула 4 июля 2026 года.

5 марта 2026 года Совет директоров IBF провёл телеконференцию для обсуждения данного вопроса. Большинство директоров пришло к выводу, что, учитывая вышеизложенное, титул чемпиона мира IBF в среднем весе должен быть немедленно объявлен вакантным", — говорится в официальном письме IBF.

В свою очередь Жанибек выступил с заявлением после решения Международной боксёрской федерации (IBF) лишить его титула чемпиона мира в среднем весе.

"Мы не остановимся! Теперь для нас всё только начинается!", — написал Алимханулы в соцсетях.

Ранее своё решение в отношении Алимханулы вынесла и Всемирная боксёрская организация (WBO): она дисквалифицировала казахстанского боксёра на год, но при этом не лишала его титула чемпиона мира в среднем весе.

Популярный журнал The Ring исключил чемпиона по версиям IBF и WBO Жанибека Алимханулы из своего рейтинга лучших боксеров (P4P).

Напомним, в декабре Алимханулы сдал положительный допинг-тест - в его пробе обнаружили запрещённое вещество — мельдоний. В результате был отменен поединок против чемпионом WBA кубинца Эрисланди Лары. Позднее вскрытие второй пробы также подтвердило наличие запрещённого препарата, после чего началось официальное разбирательство.

Популярное

Все
Теннисистка Рыбакина пробилась в полуфинал «тысячника» в США
Впервые в истории женщина заняла пост духовного главы Церкви Англии
До 80 км/ч разогнали поезда LRT на тестовых заездах в Астане
Трамп временно отменил вековой морской закон Джонса
Аферу на 2 млрд тенге раскрыли в кредитной сфере в Алматы
Токаев поздравил Президента и народ Бангладеш с Днем независимости
Слив отходов и мусор: нарушения водителями экотребований пресекли в Астане
Президент вручил Ерболу Хамитову орден «Барыс»
Казахстанки завоевали первое «золото» на ЧА по велоспорту на треке
Казахстанского блогера объявили в розыск по делу о незаконных интернет-казино
Единый дизайн-код программы «Адал азамат» внедряется в школах РК
FIFA Series: сборная Казахстана сыграла с командой Намибии
Скляр выступил от Казахстана на Боаоском азиатском форуме
Штрафы на 34 млн тенге «накатал» водитель в Павлодаре
Касым-Жомарт Токаев принял Премьер-министра России Михаила Мишустина
Lufthansa продлила запрет полетов на Ближний Восток
Юношеская сборная Казахстана обыграла Румынию в отборе на Евро-2026
Олжас Бектенов проверил ход строительства крупной газовой электростанции в РК
Принципы верховенства права и институциональной стабильности укрепят имидж Казахстана на международной арене - чешский дипломат
В три финала вышел Казахстан на Кубке Азии по стрельбе из лука
Нацгвардия получила новые служебные авто
Гвардейцы стали победителями весеннего бала в преддверии Наурыза
Ерлан Кошанов: Наш народ сделал свой исторический выбор
Встречи с личным составом
В МВД рассказали, кого ждет амнистия
Логика реформ - 6: Окно возможностей в меняющемся мире
Нормативное постановление Конституционного Суда Республики Казахстан от 18 марта 2026 года № 77-НП
Особенный фильм про сильных людей
Поручениям Президента – своевременное и качественное исполнение
Мощная песчаная буря обрушилась на Египет
Школа искусств открылась в селе
Тенденции и перспективы госслужбы
Агния Барто – голос детства
Радуют глаз ковры Приаралья
Касым-Жомарт Токаев поздравил казахстанцев с праздником Ораза айт
Новая Конституция станет надежной опорой нашей государственности и нашего суверенитета
Из Улытау в Мангистау запускается прямой поезд
Играя на струнах души
В США выпустят памятную золотую монету с изображением Трампа
Астана масштабно отмечает Наурыз: концерты, VR-юрты, дрон-шоу и ярмарки
На страже неба: женское лицо авиации
Мужской хор Нацгвардии поздравил женщин столицы
Гвардейцы встретились со школьниками в Астане
В Конаеве начали строить КОС
Военная семья – надежный тыл: семья Таубаевых
Наурызнама: национальные узоры в форме и на технике гвардейцев
Семь лет уверенного созидательного лидерства
Победитель UAE SWAT Challenge 2026 встретился со школьниками
Гвардеец знает наизусть около 100 кюев
Наука: от конституционного статуса к технологическому суверенитету
Арсен Томский подарил автомобиль отцу олимпийского чемпиона Михаила Шайдорова
Подставить вовремя плечо
Роналду начал переговоры о возвращении в Европу
Без наценок и посредников
В Карагандинском зоопарке – пополнение
Учебник как инструмент успеха
Развитие человеческого капитала в контексте реформ Президента
Семь человек погибло при взрыве в кафе Щучинска
В воинской части 5451 Нацгвардии провели церемонию «Тұсаукесер»
Фундамент новой эпохи независимого Казахстана

Читайте также

Асу Алмабаев улучшил позицию в рейтинге UFC
До 60 млн долларов выделил UFC на организацию турнира в Бел…
UFC обновил рейтинги во всех весовых категориях
Асу Алмабаев снялся с главного боя UFC

Архив

  • [[year]]
  • [[month.label]]
  • [[day]]